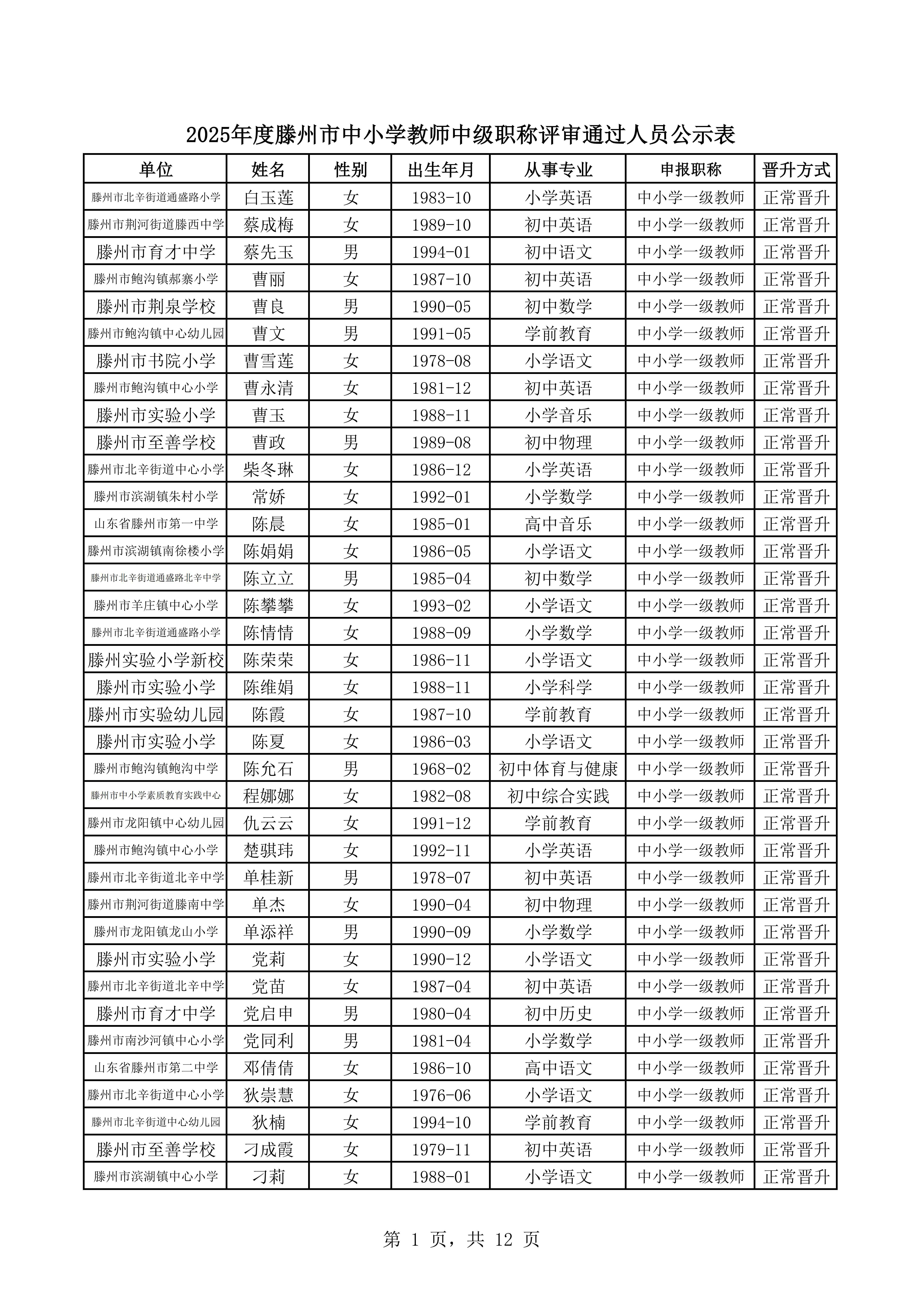
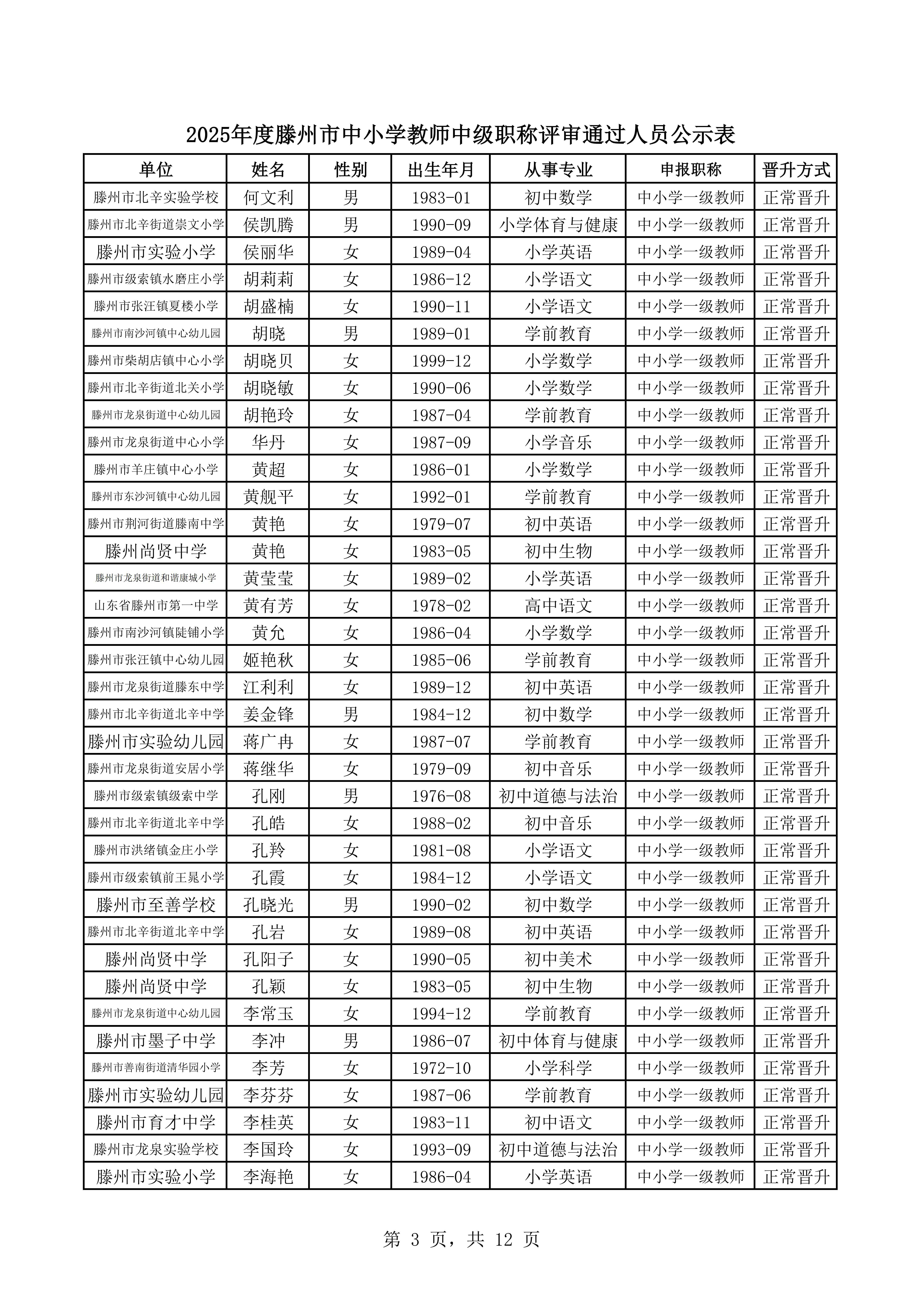
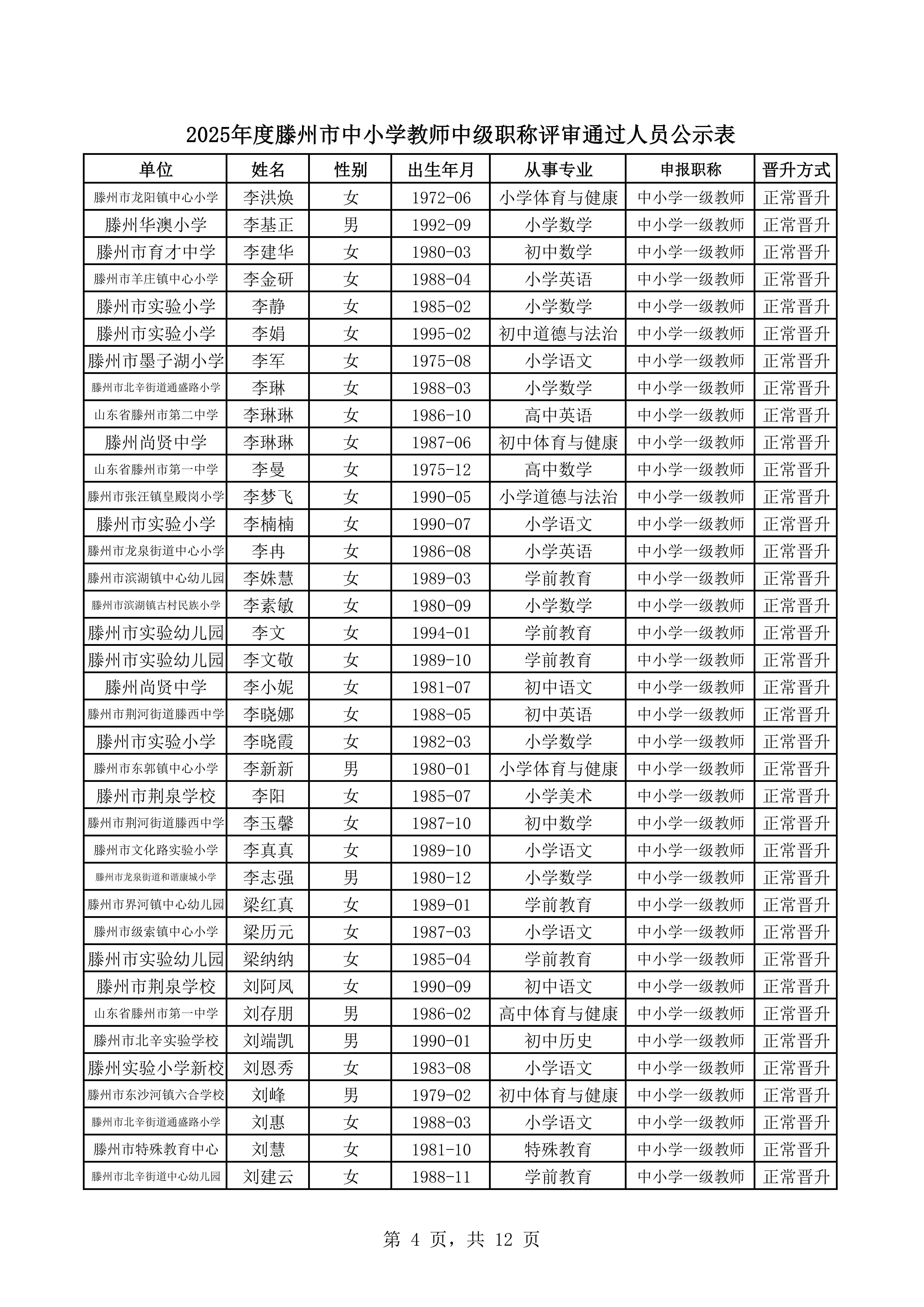
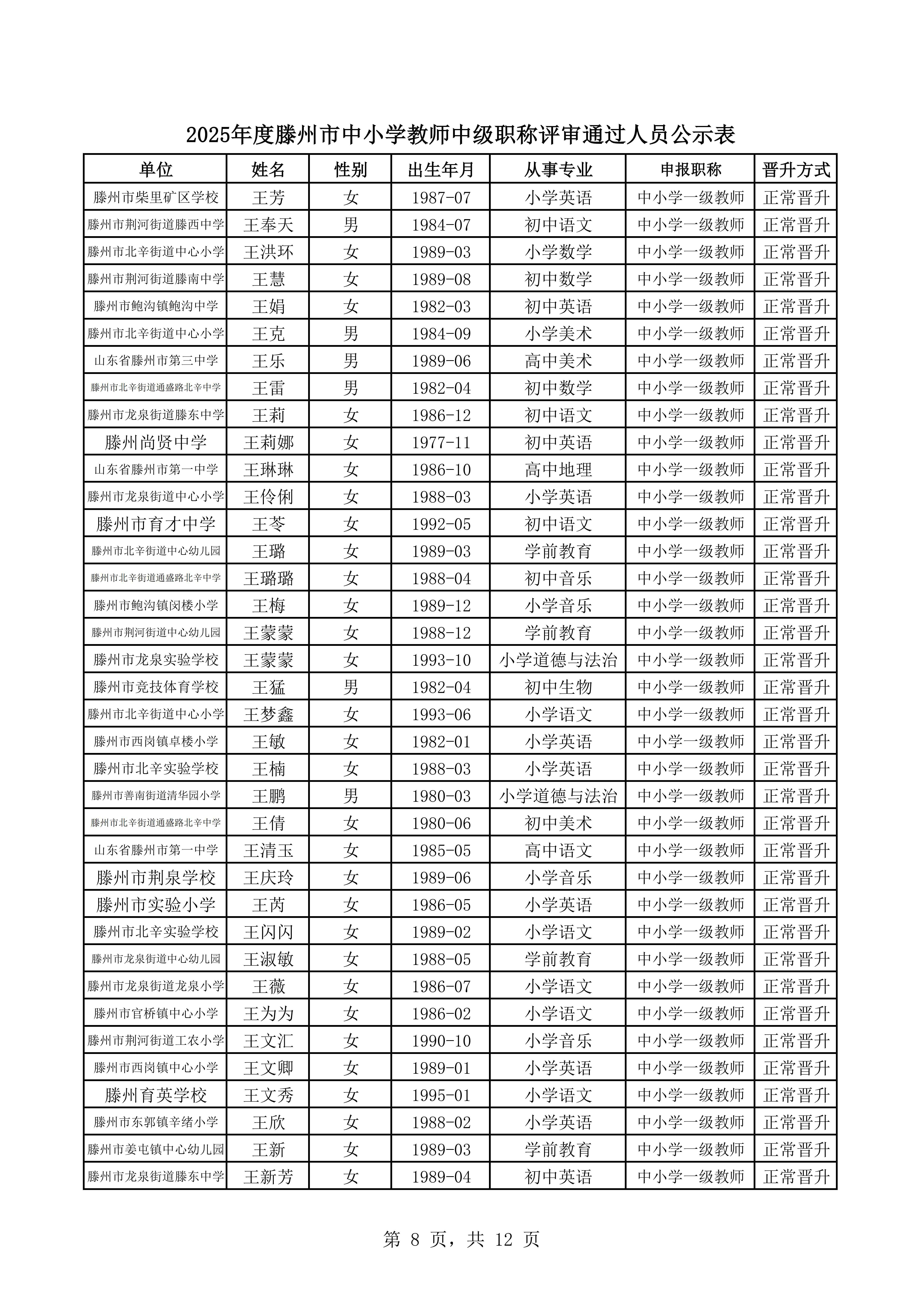
2025年度滕州市中小学教师、中等职业学校教师职务中级评审委员会于2025年12月10日-12月12日召开了评审会议,对呈报单位申报的中小学教师、中等职业学校教师中级职务任职资格人员的全部材料进行了评审。经过材料审核、专家评议、评委会无记名投票表决等程序,中小学教师中级共有432人评审通过,中等职业学校教师中级共有8人评审通过。
为进一步增强工作透明度,保证评审结果公开、公平、公正,根据省人力资源和社会保障厅关于对评审通过人员实行异议期公示的规定,自2025年12月12日至2025年12月18日(共5个工作日)对评审通过人员实行异议期公示。
请呈报单位按规定将评审通过人员名单反馈到申报人员所在单位进行公示。如对公示人员有异议,请在公示期内以书面形式进行反映(不受理口头、电话、匿名信或匿名电子邮件形式反映的意见)。经调查核实,对违反规定程序或弄虚作假申报职称等问题,对诬告、陷害、制造谣言等问题,将按照相关规定严肃处理。
通讯地址:滕州市教育和体育局人事科(滕州市杏坛路75号),来信请注明“2025年度职称评审”,截止时间以寄发地邮戳时间为准。
联系方式:0632-5503519
邮政编码:277500
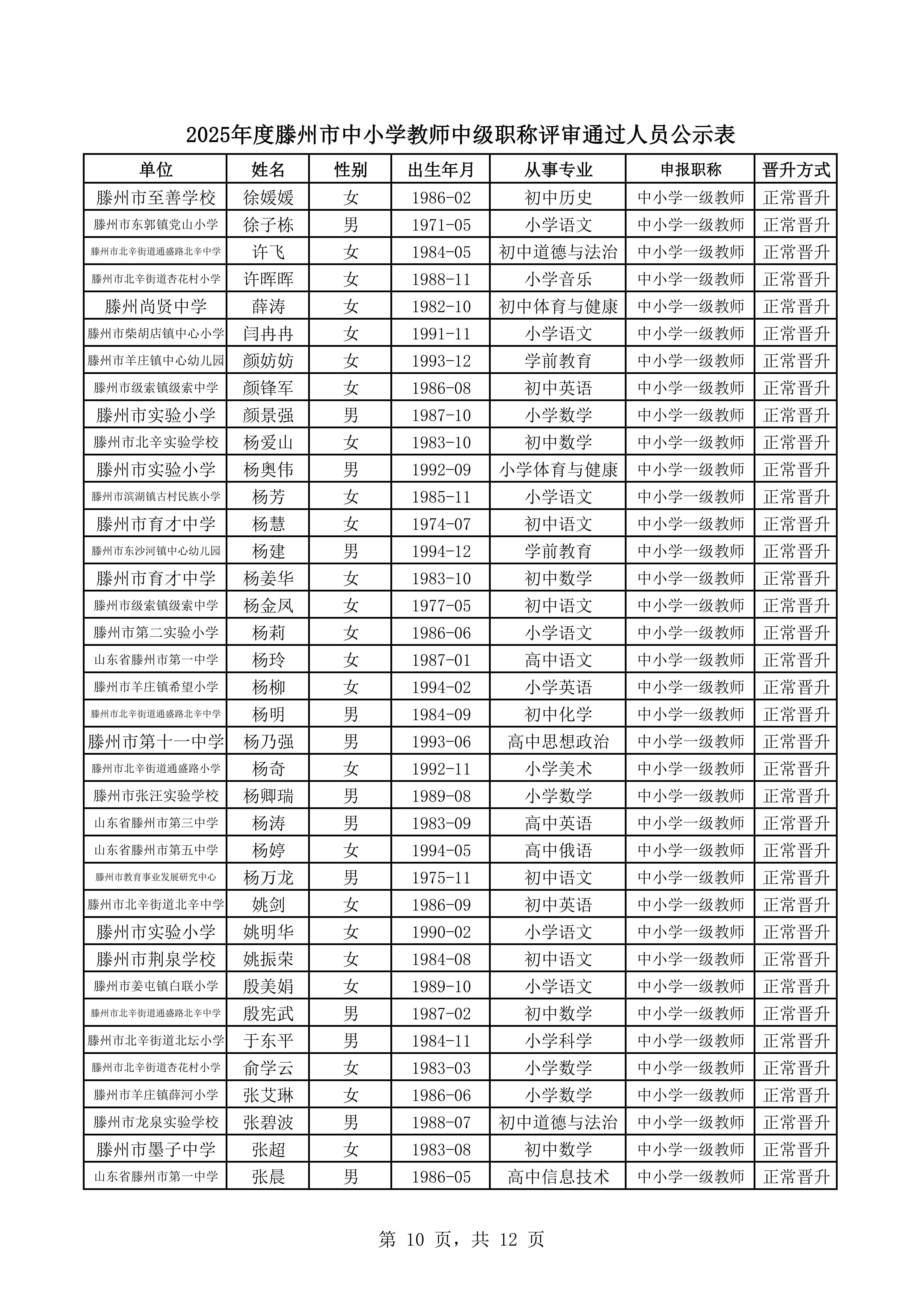
附件:1、2025年度滕州市中小学教师中级职称评审委员会通过人员公示表
2、2025年度滕州市中等职业学校教师职务中级评审委员会评审通过人员公示表
2025年12月12日













您的位置:
